高二上学期期中考试数学(文)试题答案.pdf
是你****噩呀
亲,该文档总共12页,到这已经超出免费预览范围,如果喜欢就直接下载吧~
相关资料
高二上学期期中考试语文试题答案.pdf
赣州四中2016--2017学年第一学期期中考试高二年级语文学科答案命题人:袁欣怡一、论述类文本阅读1.C【解析】“微”文化产生是由于“科学技术的发展使智能手机成为了人们获取信息和消费文化的主要载体”“墙壁上的宣传标语口号、电视中插播的商品宣传广告”并不是以智能手机为载体的。2.C【解析】A.“因‘微’文化的产生和流行导致人们生活节奏加快”于文无据原文
高二上学期期中考试语文试题答案.pdf
赣州四中2016--2017学年第一学期期中考试高二年级语文学科答案命题人:袁欣怡一、论述类文本阅读1.C【解析】“微”文化产生是由于“科学技术的发展使智能手机成为了人们获取信息和消费文化的主要载体”,“墙壁上的宣传标语口号、电视中插播的商品宣传广告”并不是以智能手机为载体的。2.C【解析】A.“因‘微’文化的产生和流行导致人们生活节奏加快”于文无据,原文只是说“我们的文化生活方式也随之发生了改变”;B.原文是说“当我们的时间和注意力被多如牛毛的‘微’文化产品肢解时……都变成了奢侈事”,并没有提及耐心;D
高二上学期期中考试试题答案 试题.pdf
时间:2022.4.12单位:……***创编者:十乙州2021学年第一学期期中地区(含周边)重点中学时间:2022.4.12单位:……***创编者:十乙州高二年级语文学科答案一.语言根底知识和应用〔选择题每一小题3分,一共24分〕1.B。A倔jué,C嫉jí,D遂suì。2.C。A考察,B质疑,D殒身不恤。3.A。A“其间〞与“期间〞都表示在某段时间是里面或者某个时期中间,但“其间〞一词可以单独充当时间是状语,而“期间〞不能单独充当时间是状语,使用时它的前面必须添加修饰语。B“反映〞与“反响〞都可表示外界
高二上学期期中考试题答案[1].doc
齐齐哈尔中学高一下学期期中考试物理试题答案1234567ADCCDADAD8910111213ABBCBBCBC二、非选择题:(共56分)13.(1)_A2__;__V1____;(2)___甲__(3)略14(14分)解:电子射出电场时的速度得15.(14分)解:16.(1)用Q表示极板电荷量的大小,q表示碰后小球电荷量的大小。要使小球能不停地往返活动,小球所受的向上的电场力至少应大于重力,即q>mg①q=αQ②又有Q=C③由①②③式得④(2)当小球带正电时,小球所受电场力与重力方向相同,向下做
高二上学期期中考试数学(文)试题答案.pdf
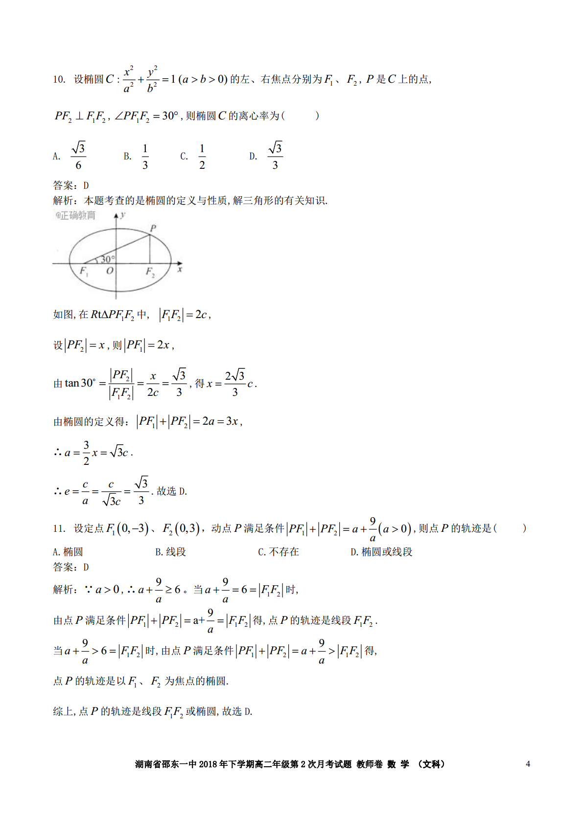
湖南省邵东一中2018年下学期高二年级第2次月考试题数学(文科)教师卷本试题卷分为选择题和非选择题两部分。时量120分钟总分150分。考生务必将答案答在答题卡上在试卷上作答无效。一、选择题(共12小题每小题只有一个选项正确每小题